Faktor Prima Dari 64 Adalah

Faktor Prima Dari 64 Adalah - Sehingga faktorisasi prima dari 12 adalah 2 x 2 x 3 atau 2 2 x 3. Maka dari itu, faktorisasi prima dari 64: 64 :2 = 32 :2 = 16 :2 = 8 :2 = 4 :2 = 2 :2 = 1 64 = 2x2x2x2x2x2. Sehingga, faktorisasi. Faktor prima dari 64 adalah .... A. 2 B. 2 dan 3 C. 2, 3 dan 5 D. 2, 3, 5, dan 7 . Latihan Soal Online – Semua Soal. Faktor prima dari 64 adalah .... A. 2 B. 2 dan 3 C. 2, 3 dan 5 D. 2, 3, 5,.
Faktor prima dari 64 adalah .... A. 2 B. 2 dan 3 C. 2, 3 dan 5 D. 2, 3, 5, dan 7 . Latihan Soal Online – Semua Soal. Faktor prima dari 64 adalah .... A. 2 B. 2 dan 3 C. 2, 3 dan 5 D. 2, 3, 5,. Faktor Prima adalah faktor dari suatu angka yang merupakan bilangan prima. Bilangan prima adalah bilangan yang hanya habis dibagi oleh 1 dan bilangan itu sendiri seperti. Faktor prima dari 64 adalah .... A. 2 B. 2 dan 3 C. 2, 3 dan 5 D. 2, 3, 5, dan 7 . Latihan Soal Online Matematika . Latihan Soal ... Latihan Soal Online adalah website yang berisi tentang.
Faktorisasi prima dari 64 adalah.....pakek pohon faktor - Brainly.co.id

Buatlah pohon faktor dari setiap bilangan berikut!...
Tentuka faktor prima dari bilangan 64...
Berapakah FPB dari 24 dan 64 ?

Tentukan FPB dari bilangan-bilangan berikut ini de...

Apa faktor bilangan prima dari 64?...

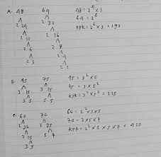
Tentukan KPK dari pasangan bilangan berikut dengan faktorisasi prima. A.48 dan 64 (PAKAI CARA) B.45 - Brainly.co.id

FAKTOR DARI 64 - YouTube

Salah satu faktor prima dari 64 adalah

Belum ada Komentar untuk "Faktor Prima Dari 64 Adalah"
Posting Komentar